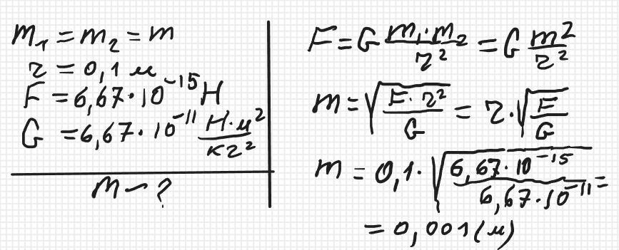
Дві однокові кулі знаходяться на відстані 0,1 м один від одного та притягуються із силою 6.67•10^-15 Н . Визначити масу кожної кульки.
Ответы
Ответ дал:
2
Ответ: 1 мм
Объяснение: Див. додаток
Приложения:

zybkov1950:
Вибачте! Помилка в одиницях вимірювання У відповіді має бути 1 г! У розв'язанні у дужках не (м ), а (кг)
Вас заинтересует
2 года назад
2 года назад
9 лет назад