• Предмет: Математика
  • Автор: sophiyapershuta0902
  • Вопрос задан 7 лет назад

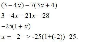
(3-4x)-7(3x+4), якщо x=-2
Допоможіть, будь ласка!!!

Ответы

Ответ дал: yevheniiavz
1

дивіться фото................

Приложения:

sophiyapershuta0902: Дякую велике!!!
yevheniiavz: :)
yevheniiavz: виправив помилку, тому будь ласка обновіть сторінку
Вас заинтересует