• Предмет: Алгебра
  • Автор: kucynandriy4464
  • Вопрос задан 7 лет назад

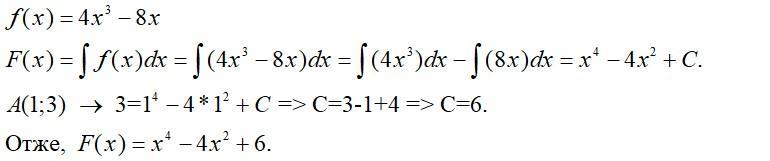
) Для функції f (х) = 4х^3 – 8 х знайдіть первісну, графік якої проходить через точку А (1;3).

Ответы

Ответ дал: yevheniiavz
1

Дивіться фото..............

Приложения:
Вас заинтересует