• Предмет: Алгебра
  • Автор: niksaaaaaa
  • Вопрос задан 7 лет назад

помогите срочно пожалуйста

Приложения:

Ответы

Ответ дал: mazullaanna907
1

Відповідь:

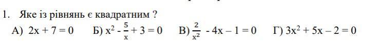
г

Пояснення:


niksaaaaaa: помогите с другими вопросами пожалуйста
Вас заинтересует