• Предмет: Алгебра
  • Автор: leratdehfio
  • Вопрос задан 7 лет назад

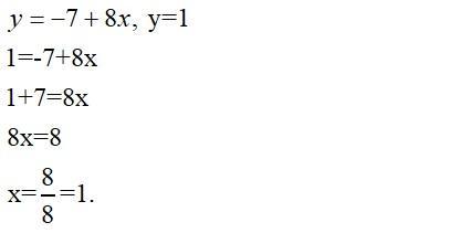
*знайдіть значення аргументу функції у = -7 +8 х, якщо значення функції =1

Ответы

Ответ дал: yevheniiavz
1

дивіться фото..........

Приложения:
Вас заинтересует