• Предмет: Математика
  • Автор: uuu228335
  • Вопрос задан 7 лет назад

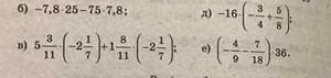
Дате пожалуйста ответы на даннные примеры:

Приложения:

Ответы

Ответ дал: sofiapisik1
0

Пошаговое объяснение:

в) 0,5

д) 1,2

е) 24

б) 4,6

это должно быть вроде правильно

Ответ дал: tatsach
0

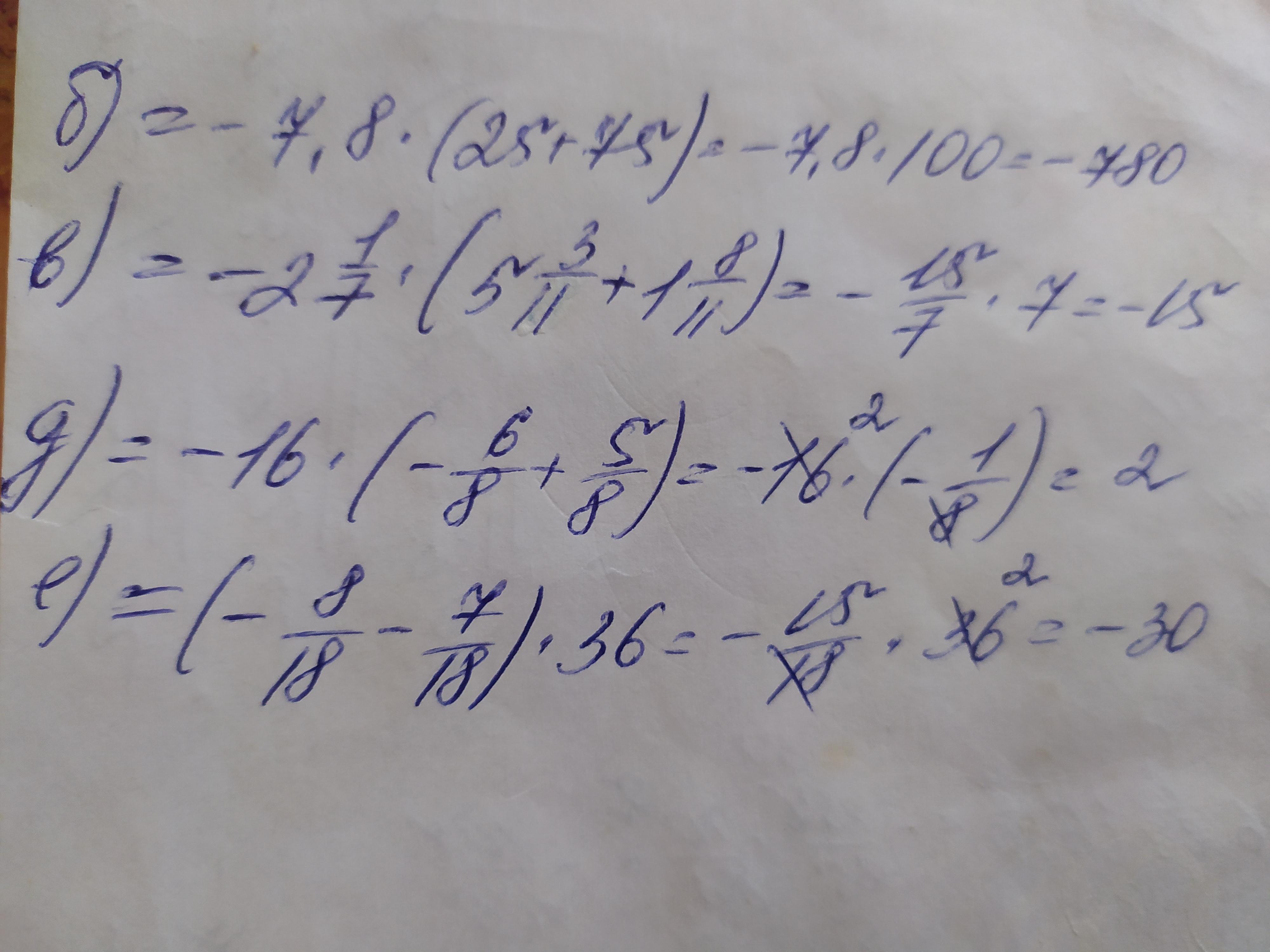
Ответ:

Пошаговое объяснение:

Приложения:
Вас заинтересует