• Предмет: Алгебра
  • Автор: YanaTuzova
  • Вопрос задан 7 лет назад

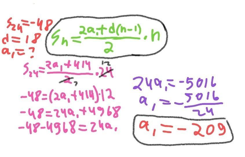
Найди первый член арифметической прогрессии, если d=18 , а сумма первых двадцати четырёх членов прогрессии равна -48

Ответы

Ответ дал: Dark955
1

Ответ:

решение на фото.

Объяснение:

применяешь формулу суммы n элементов арифметической прогрессии, после вставляешь те значения, которые нам известны вместо букв и считаешь. (надеюсь, все понятно (: )

Приложения:

Dark955: сделай пожалуйста "лучший ответ"
Dark955: ПОЖАААЛУЙСТА :)
Вас заинтересует