Ответы
Ответ дал:
1
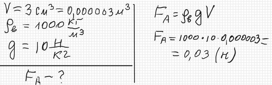
Дано:
Vт=3 см³=3×10⁻⁶ м³
ρводи=1000 кг/м³
g=10 Н/кг
Fa-?
Розв'язання:
Fa=ρводиgV=1000×10×3×10⁻⁶=0,03 (Н)
Відповідь:Fa=0,03 Н.
Ответ дал:
0
Ответ: 0,03 Н
Объяснение: Див. додаток
Приложения:

DonSERG:
помогите пожалуйста https://znanija.com/task/48745441
Вас заинтересует
2 года назад
2 года назад
2 года назад
2 года назад
8 лет назад
8 лет назад
9 лет назад