• Предмет: Алгебра
  • Автор: YanaTuzova
  • Вопрос задан 7 лет назад

СРОЧН
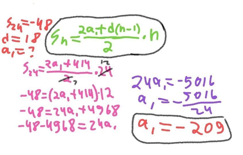
Найди первый член арифметической прогрессии, если d=18 , а сумма первых 24 членов прогрессии равна -48

Ответы

Ответ дал: Dark955
0

Ответ:

решение на фото.

Объяснение:

применяешь формулу суммы n элементов арифметической прогрессии, после вставляешь те значения, которые нам известны вместо букв и считаешь. (надеюсь, все понятно (: )

Приложения:

Dark955: сделай пожалуйста "лучший ответ"
Dark955: ПОЖАЛУЙСТА:)
Вас заинтересует