• Предмет: Физика
  • Автор: nikitamohonko65
  • Вопрос задан 7 лет назад

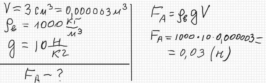
Задача:Яка виштовхувальна сила діє на тіло об'ємом 3 кубічних сантиметри, занурене у воду?
помогите пожалуйста

Ответы

Ответ дал: zybkov1950
0

Ответ: 0,03 Н

Объяснение: Див. додаток

Приложения:
Вас заинтересует