• Предмет: Физика
  • Автор: sophiagalaxyj6
  • Вопрос задан 7 лет назад

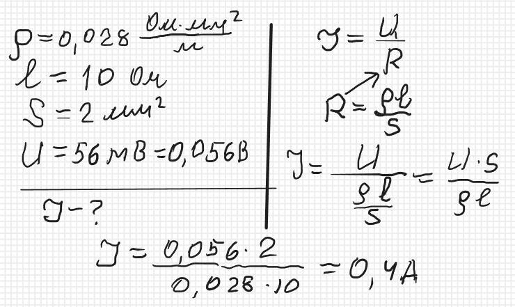
Обчисліть силу струму в алюмінієвому дроті, який має довжину 10 м і площу поперечного перерізу 2 мм2: напруга на кінцях дроту становить 56 мВ.​

Ответы

Ответ дал: zybkov1950
0

Ответ: 0,4 А

Объяснение: Див. додаток

Приложения:
Вас заинтересует