• Предмет: Математика
  • Автор: digginout
  • Вопрос задан 7 лет назад

Дам 50!!! баллов
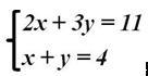
Розв’яжіть способом підстановки систему двох лінійних рівнянь з двома змінними


a.

(11; 3)




b.

(3;1)




c.

(1;3)




d.

(-3;1)

Приложения:

Ответы

Ответ дал: Pelmeshka83
1

Ответ:

2x + 3y = 11 \\ x + y = 4 \\ \\ 8 - 2y + 3y = 11  \\ x = 4 - y \\  \\ y = 3 \\ x = 4 - 3 \\  \\ y = 3 \\ x = 1 \\  \\

(1;3)

Вас заинтересует