• Предмет: Математика
  • Автор: lizakovalenko97
  • Вопрос задан 7 лет назад

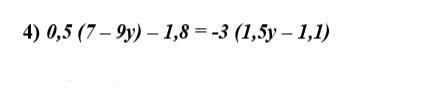
допоможіть виконати будь-ласка, з пошаговим поясненням

Приложения:

Ответы

Ответ дал: zhidovanita
0
Рішення хибне. Тому відповіді немає
Приложения:
Вас заинтересует