• Предмет: Математика
  • Автор: macbooka211
  • Вопрос задан 7 лет назад

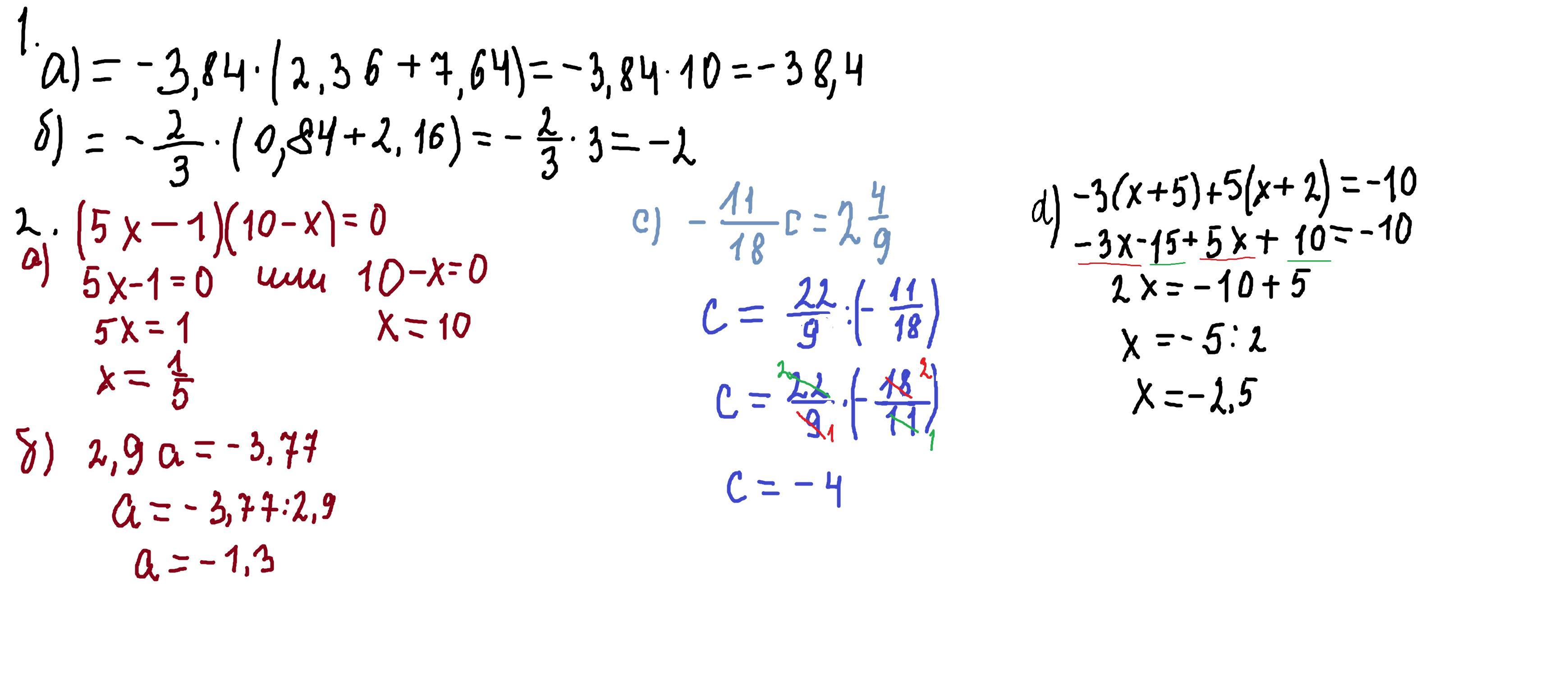
ХЕЛП дам 45 балов 1 вопрос не помог(((((

Приложения:

macbooka211: решить все

Ответы

Ответ дал: parus77
1

Ответ:

Пошаговое объяснение:

решение внизу

Приложения:
Вас заинтересует