• Предмет: Геометрия
  • Автор: afedun744
  • Вопрос задан 7 лет назад

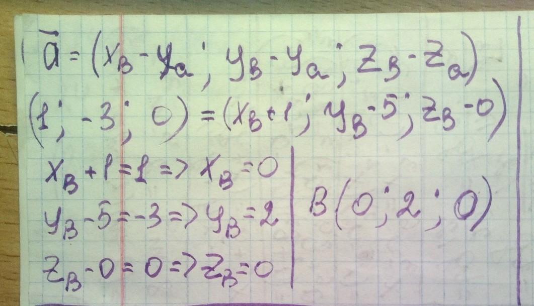
Дано: А(-1; 5; 0), вектор ̅а(1;-3; 0). ̅АВ=̅а. Знайти: координати точки В.​

Ответы

Ответ дал: manyny06
4

Ответ:

решение смотри на фотографии

Приложения:

afedun744: Дякую
Вас заинтересует