• Предмет: Алгебра
  • Автор: semenloskutov758
  • Вопрос задан 7 лет назад

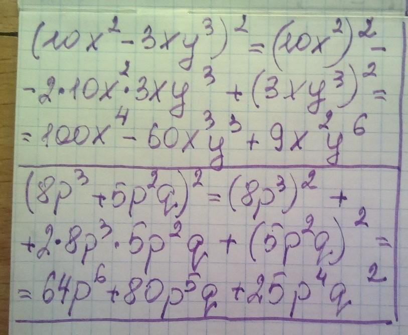
Преобразуйте выражение в многочлен стандартного вида​

Приложения:

Ответы

Ответ дал: manyny06
0

Ответ:

решение смотри на фотографии

Приложения:
Вас заинтересует