• Предмет: Физика
  • Автор: Аноним
  • Вопрос задан 7 лет назад

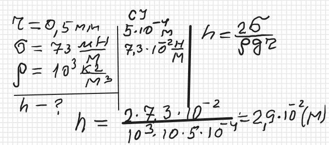
На яку висоту підніметься вода у капілярній трубці радіусом 0,5 мм? СРОЧНО, ТЕРМІНОВО ТРЕБА, ВІДДАЮ ВСІ БАЛИ.​

Ответы

Ответ дал: zybkov1950
1

Ответ: 2,9 см

Объяснение: Див. додаток

Приложения:
Вас заинтересует