• Предмет: Математика
  • Автор: Аноним
  • Вопрос задан 7 лет назад

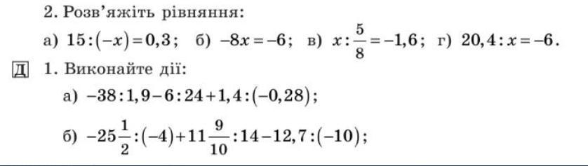
помогите даю 50 балов

Приложения:

Ответы

Ответ дал: Mashenkamizani
0
Только что отвечала на такой вопрос. Смотрите скрин.
Приложения:
Вас заинтересует