• Предмет: Алгебра
  • Автор: veveze
  • Вопрос задан 7 лет назад

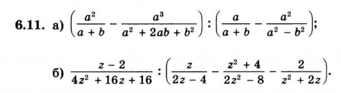
даю 20 баллов, упростить выражение, по действиям с решением

Приложения:

Ответы

Ответ дал: MolkyWay
1

Ответ:

a)(\frac{a^2}{a+b} -\frac{a^3}{a^2+2ab+b^2} ):(\frac{a}{a+b} -\frac{a^2}{a^2-b^2} )=(\frac{a^2(a+b)-a^3}{(a+b)^2}) :(\frac{a(a-b)-a^2}{(a+b)(a-b)} )=\frac{a^3+a^2b-a^3}{(a+b)^2}:\frac{a^2-ab-a^2}{(a+b)(a-b)}  =\frac{a^2b*(a+b)(a-b)}{(a+b)^2*(-ab)}=\frac{(a-b)a}{-(a+b)}  =\frac{a^2-ab}{-a-b} \\b)\frac{z-2}{4z^2+16z+16} :(\frac{z}{2z-4} -\frac{z^2+4}{2z^2-8} -\frac{2}{z^2+2z} )=\frac{z-2}{4(z^2+4z+4)} :(\frac{z}{2(z-2)} -\frac{z^2+4}{2(z^2-4)} -\frac{2}{z(z+2)} )=

\frac{z-2}{4(z+2)^2} :(\frac{z}{2(z-2)} -\frac{z^2+4}{2(z-2)(z+2)} -\frac{2}{z(z+2)} )=\frac{z-2}{4(z+2)^2} :(\frac{z(z+2)-(z^2+4)-2(z-2)}{2(z-2)(z+2)} )=\frac{(z-2)*2(z-2)(z+2)}{4(z+2)^2*(z^2+2z-z^2-4-2z+4)} =\frac{2(z-2)^2}{4(z+2)} =\frac{(z-2)^2}{2(z+2)}

Лучший ответ пж

Вас заинтересует