Найдите сумму:
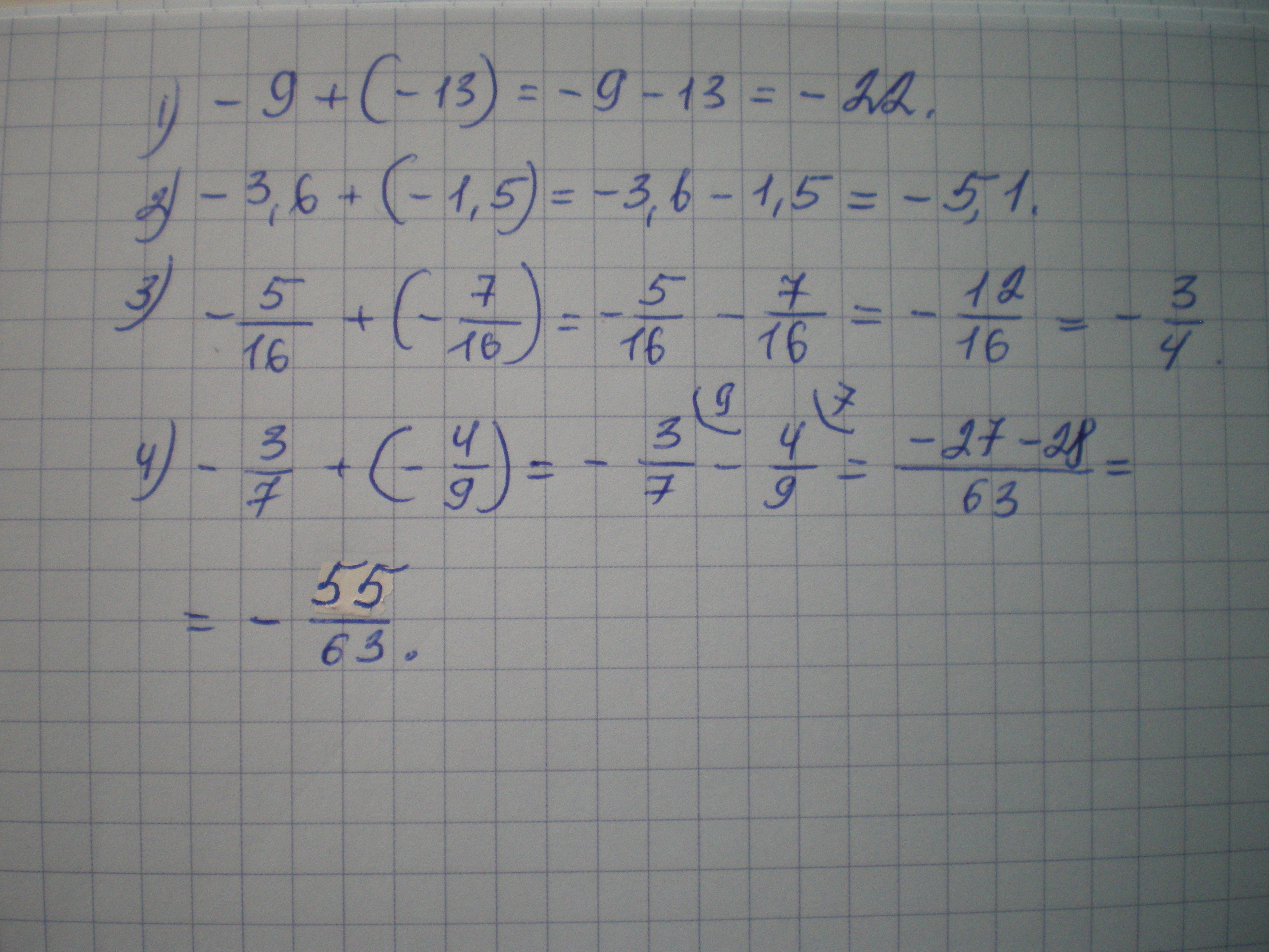
1)-9+(-13)=?
2)-3,6+(-1,5)=?
3)-5/16+(-7/16)=?
4)-3/7+(-4/9)=?
Пож . Очень срочно надо!!!!!
Ответы
Ответ дал:
0
:::::::::решение:::::::::::::::
Приложения:

Вас заинтересует
2 года назад
8 лет назад
8 лет назад
10 лет назад
10 лет назад