• Предмет: Алгебра
  • Автор: mahejasia
  • Вопрос задан 7 лет назад

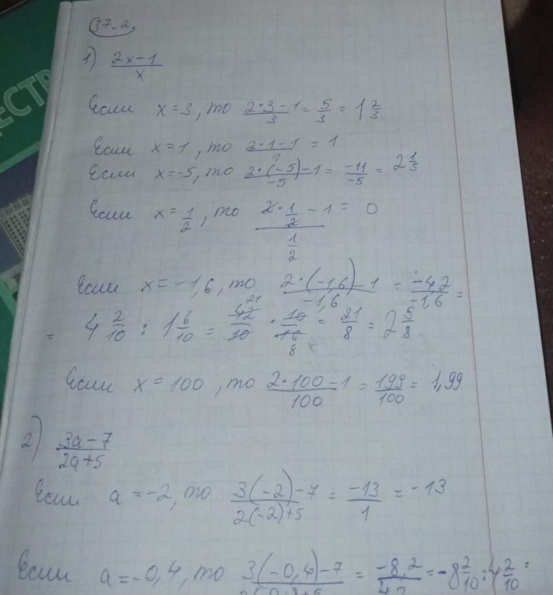
37.2. Найдите значение выражения:
срочно нужно сделать
помогитееее​

Приложения:

Ответы

Ответ дал: Мозгокошка
1

Надеюсь помогла.Удачи>

Приложения:
Вас заинтересует