• Предмет: Математика
  • Автор: yanasralavshtani
  • Вопрос задан 7 лет назад

помогите пожалуйста, срочно!!!​

Приложения:

Ответы

Ответ дал: eyggen
1

Ответ:

нижче.

Пошаговое объяснение:

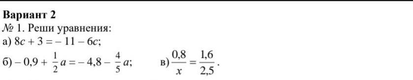
a) 8c+3=-11-6c

8c+6c=-11-3

14c=-14

c=-1

б) -0,9+0,5a=-4,8-0,8a

0,5a+0,8a=-4,8+0,9

1,3a=-3,9

a=-3,9÷1,3

a=-3

в) 0,8/х=1,6/2,5

1,6х=0,8×2,5

1,6х=2

х=2/1,6=1/0,8=1,25.

Вас заинтересует