• Предмет: Математика
  • Автор: bogdanagoncaruk430
  • Вопрос задан 7 лет назад

допоможіть розв'язати рівняння ​

Приложения:

Ответы

Ответ дал: Svita14
1

Ответ:

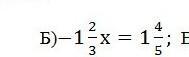
-1\frac{2}{3} x=1\frac{4}{5}

x=1\frac{4}{5} : (-1\frac{2}{3})

x=-(\frac{9}{5}:\frac{5}{3}) = -(\frac{9}{5}*\frac{3}{5})= -\frac{27}{25}   =-1\frac{2}{25}   = -1.08

x=-1\frac{2}{25} или x= -1,08

Ответ: x=-1\frac{2}{25} или x= -1,08

Вас заинтересует