• Предмет: Алгебра
  • Автор: mentolics
  • Вопрос задан 7 лет назад

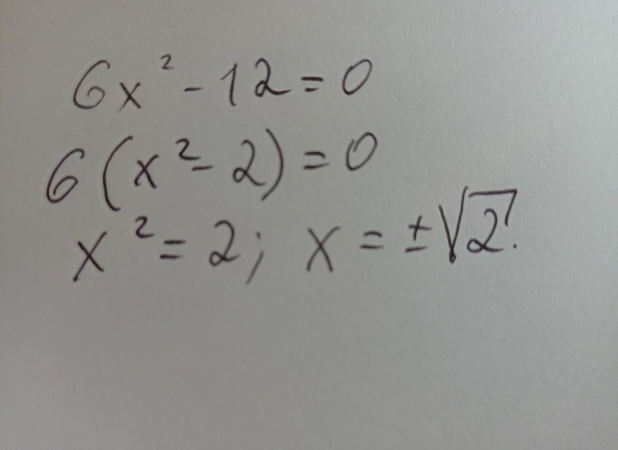
6x²-12=0
алгебра 8 класс​

Ответы

Ответ дал: Aw9
0

Объяснение:

Выносим 6 за скобки. Выражение равняется нулю тогда,когда хотя бы один из множителей равен нулю. 6 не равен нулю,следовательно решаем то,что в скобке приравнивая к нулю.

Приложения:
Ответ дал: Аноним
0

Ответ:  х=-√2; х=√2;

Объяснение:

6*(х²-2)=0

6≠0; х²-2=(х-√2)*(х+√2)=0⇒  х-√2=0;  х=√2; х+√2=0;  х=-√2;

Вас заинтересует