• Предмет: Математика
  • Автор: sofiakogivhak
  • Вопрос задан 7 лет назад

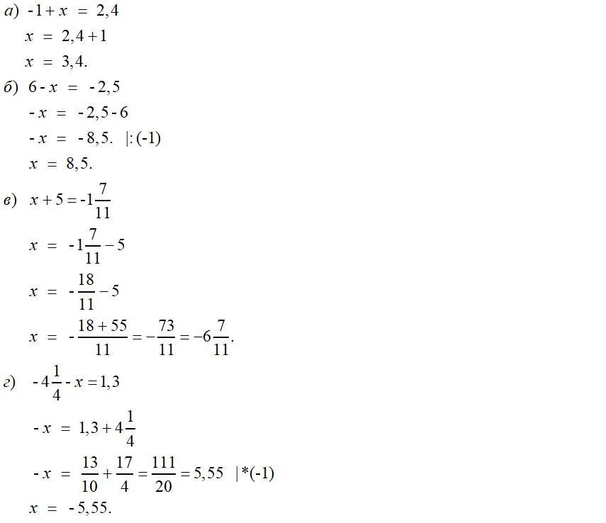
Розв'яжіть рівняння: а) –1+ х = 2,4; б) 6- х = -2,5; в) x+5=-1 7/11 г) -4 1/4-х=1,3
допоможіть​

Ответы

Ответ дал: yevheniiavz
1

дивіться фото..............

Приложения:

sofiakogivhak: допоможіть ще з цим
sofiakogivhak: Виконайте додавання: а) -21+(-7); +(-5); д) 4+(-- в) -5 . 2 е) -7 - +9 3 6 6) -4,6+(-2,4); г) -3+5; Рівень води в річці змінювався протягом трьох днів: у перший день на 75 см, У другий на —13 см, а в третій на –51 см. Як змінився рівень води за 3 дні?​
sofiakogivhak: тут 2 питання
Вас заинтересует