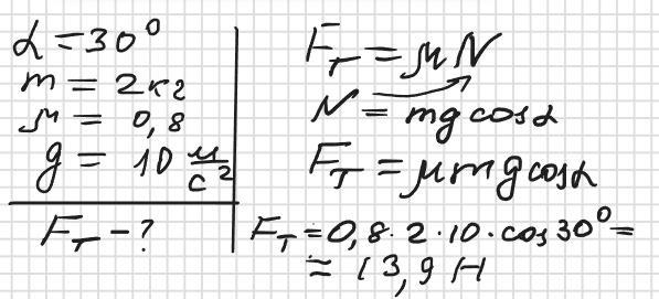
На похилу площину з кутом нахилу 30° поклали цеглину масою 2кт. Коефіцієнт тертя між поверхнями дорівнює 0,8. Чому дорівнює сила тертя, яка діє на цеглину?
Ответы
Ответ дал:
0
Ответ: 13,9 Н
Объяснение: Див. додаток
Приложения:

Вас заинтересует
2 года назад
2 года назад
2 года назад
2 года назад
8 лет назад
9 лет назад
9 лет назад