• Предмет: Алгебра
  • Автор: milaklimenko1968
  • Вопрос задан 7 лет назад

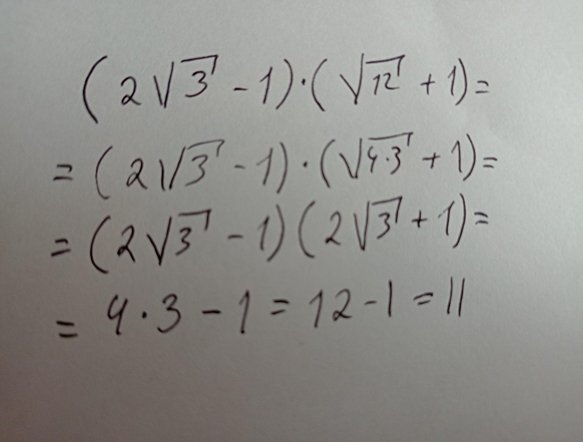
решитк плз, (2\/3-1)*(\/12+1)

Ответы

Ответ дал: EADF
1

Ответ:

(2\/3-1)*(\/12+1)=(2\/3-1)*(\/(4×3)+1)=(2\/3-1)*(2\/3+1)=(2\/3)²-1²=4×3-1=11


EADF: Если ответ был полезен, с тебя Лайк, 5звезд и отметка "Лучший".
Ответ дал: Aw9
1

Ответ:

✓12 - это ✓(4*3), ✓4 - это два,выносим из под корня и получаем 2✓3. По формуле (a-b)(a+b)=a^2+b^2 раскрываем скобки и получаем ответ.

Приложения:
Вас заинтересует