• Предмет: Математика
  • Автор: artemyanchak10
  • Вопрос задан 7 лет назад

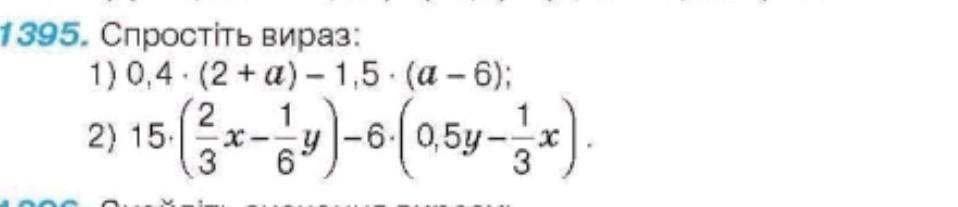
пожалуйста помогите ​

Приложения:

Ответы

Ответ дал: tatsach
1

Ответ:

Пошаговое объяснение:

Приложения:
Вас заинтересует