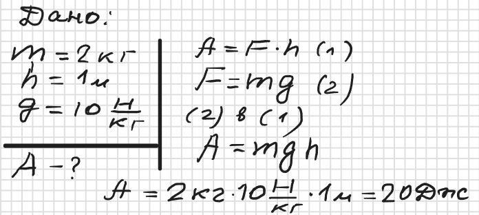
Яку роботу виконує людина піднімаючи тіло масою 2 кг на висоту 1м ?
(відповідь - 20 Дж, але мені потрібний повний розв'язок)
Ответы
Ответ дал:
2
Ответ: 20 Дж
Объяснение: Див. додаток
Приложения:

olenkademkovych:
Неймовірно вдячна)
Вас заинтересует
2 года назад
2 года назад
8 лет назад
8 лет назад
9 лет назад