• Предмет: Физика
  • Автор: olegprizrak129
  • Вопрос задан 7 лет назад

Допоможіть з завданням будь ласка ДАЮ 100 балів
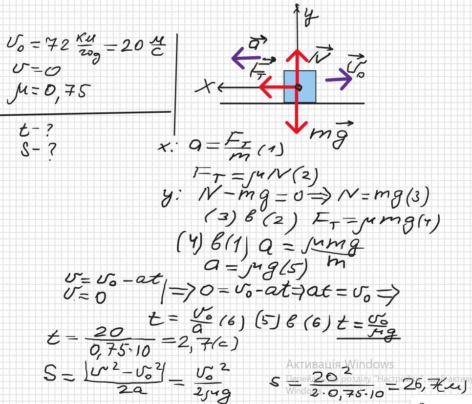
Обчислить гальмівний шлях і час гальмування автомобіля якщо він рухався прямою горизонтальною ділянкою дороги й перед початком гальмування мав швидкість 72км/год. Коефіцієнт тертя ковзання гуми по бетону - 0.75. Виконайте пояснювальний малюнок на якому вкажіть всі сили, що діють на автомобіль

Ответы

Ответ дал: zybkov1950
3

Ответ:     26,7 м       2,7 с

Объяснение: Див. додаток

Приложения:
Вас заинтересует