• Предмет: Математика
  • Автор: kynnuexistence
  • Вопрос задан 7 лет назад

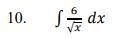
Найти неопределённый интеграл. Проверить методом дифференцирования.
(УСЛОВИЕ В ПРИКРЕПЛЁННОМ ФАЙЛЕ)

Приложения:

Аноним: ни%уя себе ето какой клас?
kynnuexistence: 11 класс

Ответы

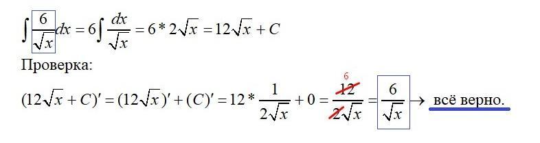
Ответ дал: yevheniiavz
1

смотрите фото....................

Приложения:
Вас заинтересует