• Предмет: Алгебра
  • Автор: fedenkosofia7
  • Вопрос задан 7 лет назад

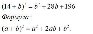
при возведении в степень (14+b)² получается ​

Ответы

Ответ дал: yevheniiavz
1

смотрите фото................

Приложения:

Аноним: здравствуйте вы не могли бы мне помочь с геометрией пожалуйста
Ответ дал: manyny06
1

Ответ:

решение смотри на фотографии

Приложения:

Аноним: здравствуйте вы не могли бы мне помочь с геометрией пожалуйста
Вас заинтересует