какой объем занимает воздух весом 3 н при нормальном атмосфером довлении темпиратуре 0 с (плотность воздуха(при 0 с и нормальном атмосферам довления)- 1.29 кг\м 2)
Ответы
Ответ дал:
1
Ответ: 0,232 м³
Объяснение:
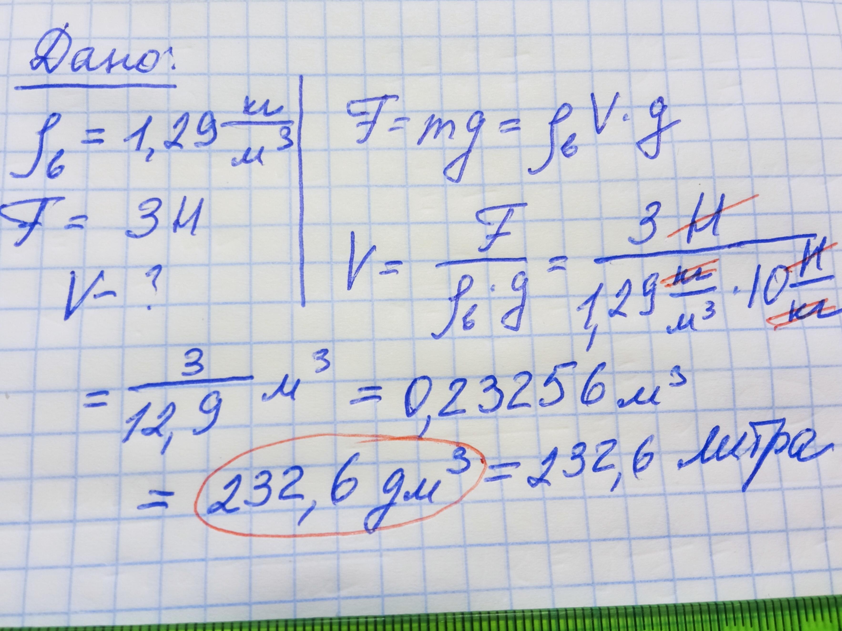
Дано:
Р=3Н
ρ=1,29кг/м³
t=0°C
----------------
V-?
V = m / ρ
m - масса воздуха
ρ - плотность ( для воздуха 1,29 кг / м³ )
m = P / g = 3 / 10 = 0,3 кг
V = 0,3 / 1,29 ≈ 0,232 м³
Ответ дал:
1
Ответ:
Объяснение:..........
Приложения:

Вас заинтересует
2 года назад
2 года назад
2 года назад
8 лет назад
8 лет назад
9 лет назад