Ответы
Ответ дал:
1
Ответ:
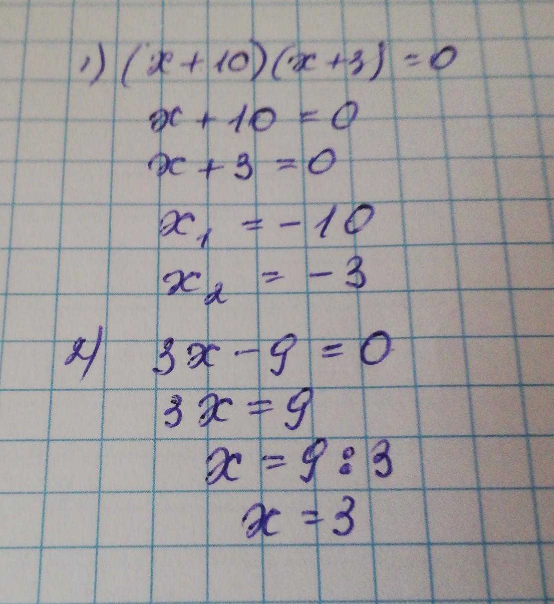
Смотри решение на фото..
Приложения:

Ответ дал:
0
Ответ:
1) х1=-10, х2=-3 каждую скобку по очереди приравняем к нулю.
2) х=3.
Вас заинтересует
2 года назад
2 года назад
8 лет назад
9 лет назад
9 лет назад