• Предмет: Математика
  • Автор: nikitaraetsky
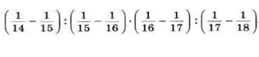
  • Вопрос задан 7 лет назад

срочно дам 20 баллов

Приложения:

Ответы

Ответ дал: turti
1

Ответ:

9/7

........................

Ответ дал: aymurza1988386
1

Ответ:

0/18 УВЕРИНА НА 100

Пошаговое объяснение:

ЭТО ПРАВИЛЬНОЕ


nikitaraetsky: поздновато :/
Вас заинтересует