• Предмет: Алгебра
  • Автор: serikdias727
  • Вопрос задан 7 лет назад

Решите Арифметическую прогрессию (9класс)

Приложения:

Ответы

Ответ дал: Dark955
0

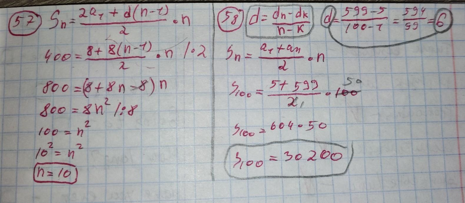
решение на фото.

57) применяешь формулу суммы арифметической прогрессии.

58) применяешь формулу разности арифметической прогрессии и сумму арифметической прогрессии.

Приложения:

Dark955: сделай пожалуйста "лучший ответ"
Dark955: ПОЖАААЛУЙСТА :)
Вас заинтересует