• Предмет: Физика
  • Автор: vukolovartem10
  • Вопрос задан 7 лет назад

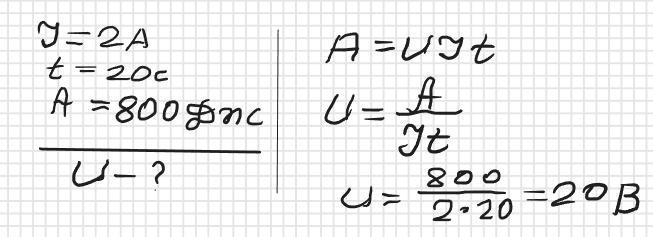
Чому дорівнює напруга на ділянці кола, на якій за сили струму 2 А за 20 с була виконана робота 800 Дж?
ПОЖАЛУЙСТА НАПИШИТЕ ПОНЯТНО
ДАЮ 50 БАЛОВ

Ответы

Ответ дал: zybkov1950
1

Ответ: 20 В

Объяснение: Див. додаток

Приложения:
Вас заинтересует