• Предмет: Алгебра
  • Автор: friketter
  • Вопрос задан 7 лет назад

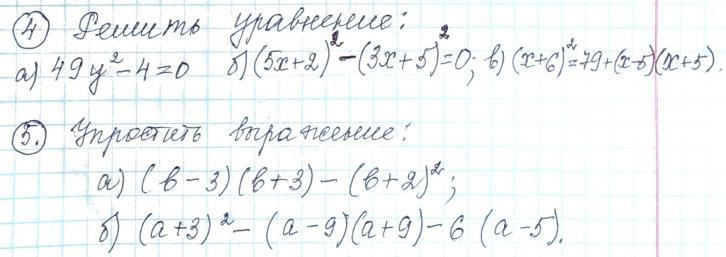
помогите мне пожалуйста

Приложения:

Ответы

Ответ дал: annavasilyuk1980
1

Ответ:

5

а =в-в+2²

Все що знаю. Удачі зробити остальне.

Вас заинтересует