• Предмет: Геометрия
  • Автор: bogdandeer
  • Вопрос задан 7 лет назад

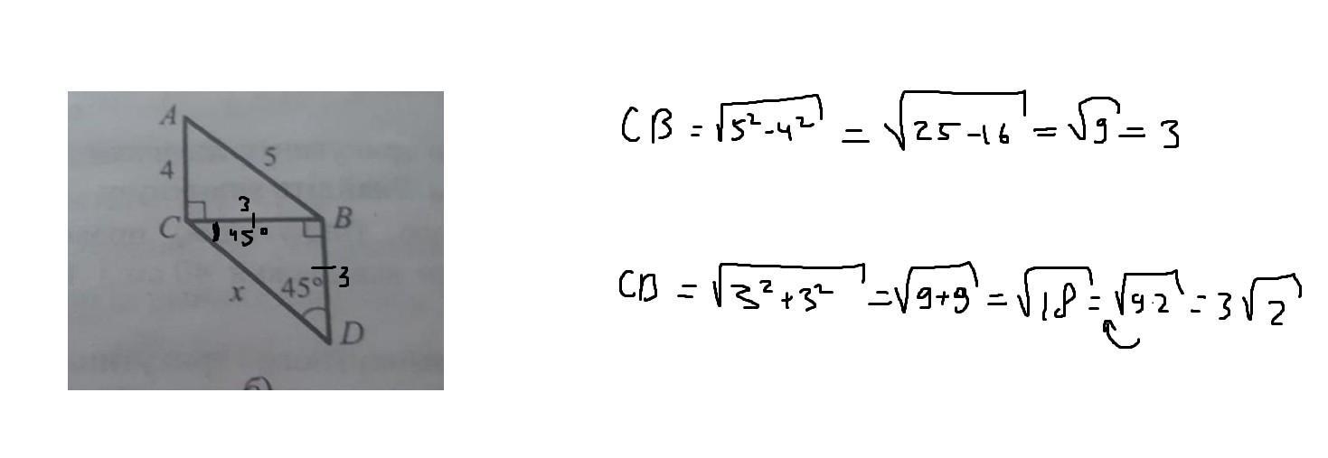
геометрія знайдіть довжину невідомого відрізка х​

Приложения:

Ответы

Ответ дал: markkindratisin
1

3корінь 2...............

Приложения:
Вас заинтересует