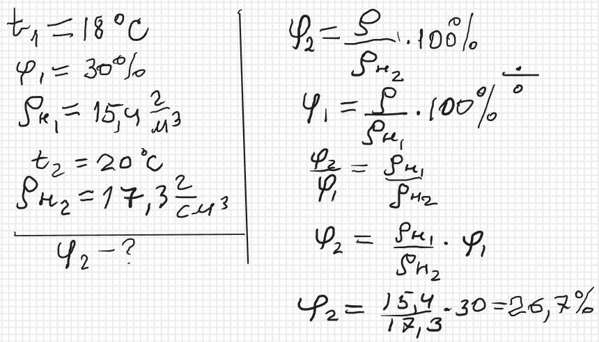
Відносна вологість повітря при температурі 18°С дорівнює 30%. Якою буде відносна вологість повітря при температурі 20°С.
помогите пожалуйста решить пожалуйста
Ответы
Ответ дал:
0
26, 7
Объяснение: Див. додаток
Приложения:

Вас заинтересует
2 года назад
2 года назад
2 года назад
8 лет назад
8 лет назад
9 лет назад