• Предмет: Физика
  • Автор: Artem4744
  • Вопрос задан 7 лет назад

Помогите пожалуйста! Определите подъёмную силу

воздушного шара общей массой (оболочка, сетка, корзина) 450 кг и объёмом 2000 м3.

Шар заполнен гелием.

Ответы

Ответ дал: kirillprkn
2

Ответ:

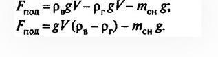
Ответ:Дано и решение подробно показаны на картинках, прикрепляю. Удачной учёбы <3

Приложения:
Вас заинтересует