Ответы
Ответ дал:
1
Ответ:
19/7
Пошаговое объяснение:
4 3/7 + (- 5,5) + 8,5 + (- 4 5/7)
31/7 - 5,5 + 17/2 - 4 5/7
31/7 - 11/7 + 17/2 - 33/7
19/7
parus77:
а выделить целую часть?
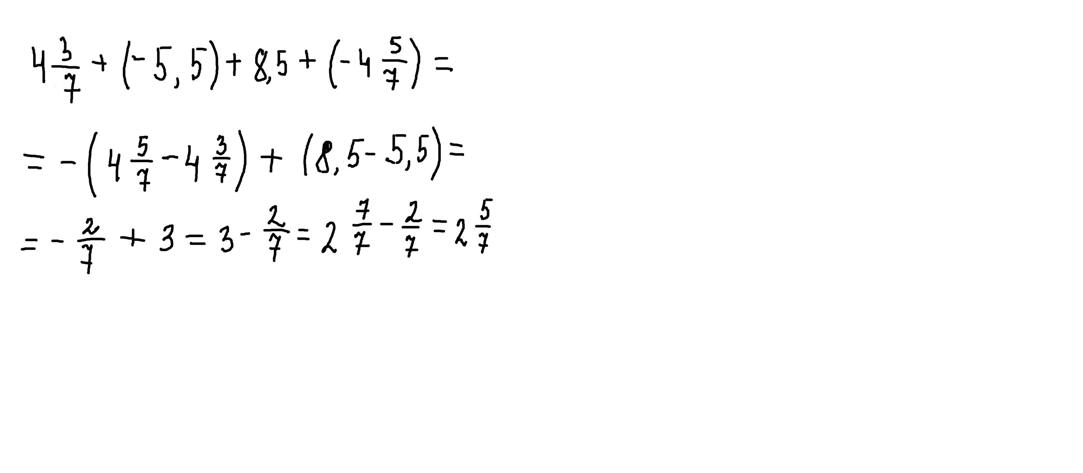
Ответ дал:
1
Ответ:
2 5/7
Пошаговое объяснение:
решение внизу
Приложения:

Вас заинтересует
2 года назад
2 года назад
2 года назад
2 года назад
9 лет назад