Ответы
Ответ дал:
1
Ответ:
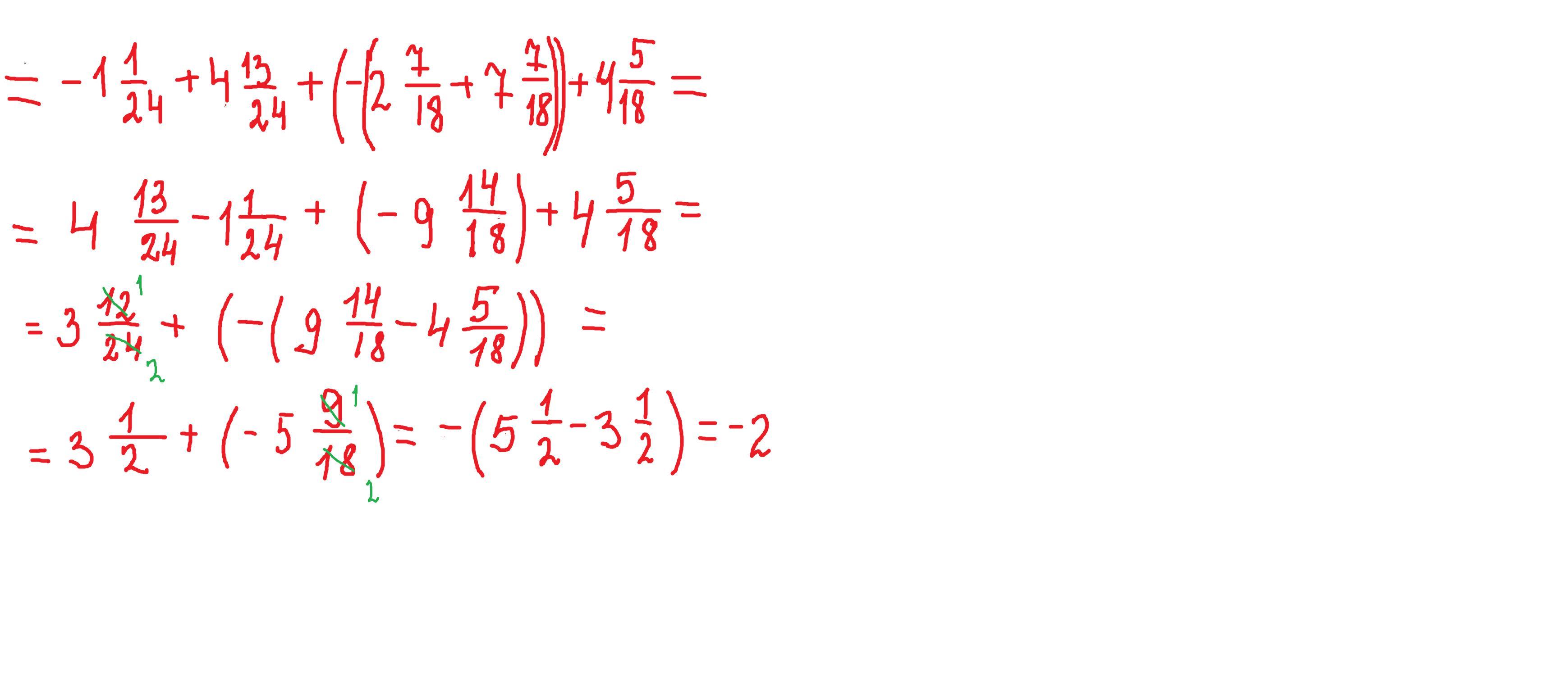
-1 1/24 + (-2 7/18) + (-7 7/18 )+ 4 13/24 +4 5/18=-2
Пошаговое объяснение:
Приложения:

sofavolchckova07:
спасибо огромное вам ,вы самая лучшая!
Вас заинтересует
2 года назад
2 года назад
2 года назад
2 года назад
8 лет назад
9 лет назад