Ответы
Ответ дал:
0
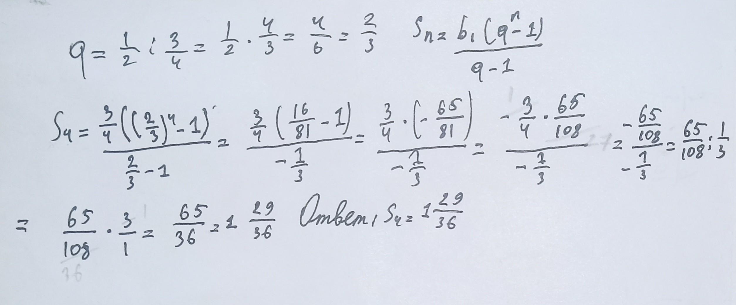
ответ на картинке, вроде всё верно
Приложения:

Вас заинтересует
2 года назад
2 года назад
8 лет назад
9 лет назад