• Предмет: Математика
  • Автор: nasvetik
  • Вопрос задан 7 лет назад

Помогите пожалуйста

Приложения:

Ответы

Ответ дал: iramazurk
2

Ответ:

Пошаговое объяснение:

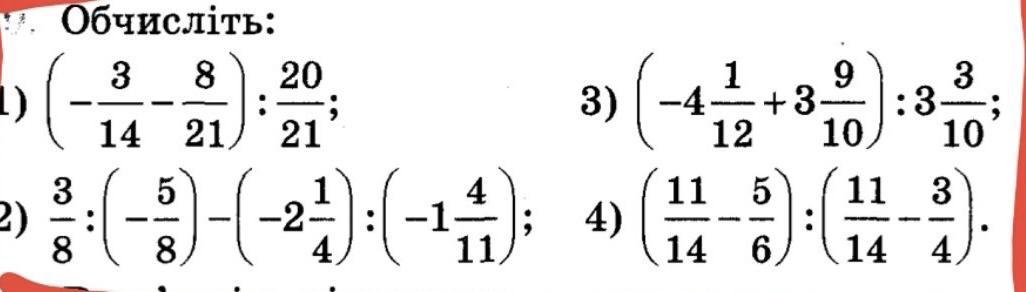
№1

1) -3/14 - 8/21 = -9/42 - 16/42 = -25/42

2) -25/42 : 20/21 = -25/42 * 21/20 =

-5/2 * 1/4 = -5/8

№2

1) 3/8 : (-5/8) = 3/8 * (-8/5) = -3/5

2) -2. 1/4 : (-1. 4/11) = -9/4 : (-15/11) =

-9/4 * (-11/15) = -3/4 * (-11/5) = 33/20 =

1. 13/20

3) -3/5 - 1. 13/20 = -12/20 - 1. 13/20 =

-1. 25/20 = -1. 5/4 = -2. 1/4

№3

1) -4. 1/12 + 3. 9/10 = -4. 5/60 + 3. 54/60 = -3. 65/60 + 3. 54/60 = -11/60

2) -11/60 : 3. 3/10 = -11/60 : 33/10 =

-11/60 * 10/33 = -1/6 * 1/3 = -1/18

№4

1) 11/14 - 5/6 = 33/42 - 35/42 = -2/42 = -1/21

2) 11/14 - 3/4 = 44/56 - 42/56 = 2/56 = 1/28

3) -1/21 : 1/28 = -1/21 * 28/1 = -1/3 * 4/1 = -4/3 = -1. 1/3


znania0921: iramazurk,здравствуйте!!!Знаю , что так делать нельзя, но пожалуйста, вы мне сможете помочь, с технической механикой???
nasvetik: Спасибо большое, я выставляла награду 50 баллов, но почему то даётся только 25
iramazurk: К сожалению, нет. С этим вопросом помочь не могу
Ответ дал: Аноним
2

Деление заменяю на умножение  на обратную дробь. по ходу сокращаю, привожу к ОЗ, где нужно, выделяю целую часть,  учитываю, что при умножении и делении плюс на минус  будет минус.

1) (-3/14 - 8/21)*(21/20) =((-9-16)/42)*(21/20) = -25/40=-5/8

2) ((3/8):(-5/8))-(9/4):(15/11) = -3/5 - (9/4)(11/15) = -3/5-33/20=-(12+33)/20=

-45/20=-2.25

3) (-4  1/12 + 3 9/10)*(10/33)=(-49/12+39/10)*(10/33)=((-245+234)/60)*(10/33)=        -(11/60)*(10/33)=-1/(6*3)=-1/18

4)(11/14 - 5/6):(11/14 - 3/4)=((33-35)/42)/((44-42)/56)=(-2/42(56/2)=-56/42=-4/3=

-1  1/3


znania0921: здравствуйте!!!Знаю , что так делать нельзя, но пожалуйста, вы мне сможете помочь, с технической механикой???
Вас заинтересует