• Предмет: Математика
  • Автор: emilrakmatullin
  • Вопрос задан 7 лет назад

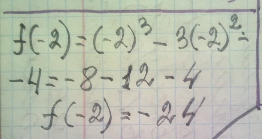
Функция задана формулой f(x)=-x³-3x²-4. Найдите f(-2)

Ответы

Ответ дал: manyny06
1

Ответ:

решение смотри на фотографии

Приложения:
Вас заинтересует