Ответы
Ответ дал:
0
Ответ:
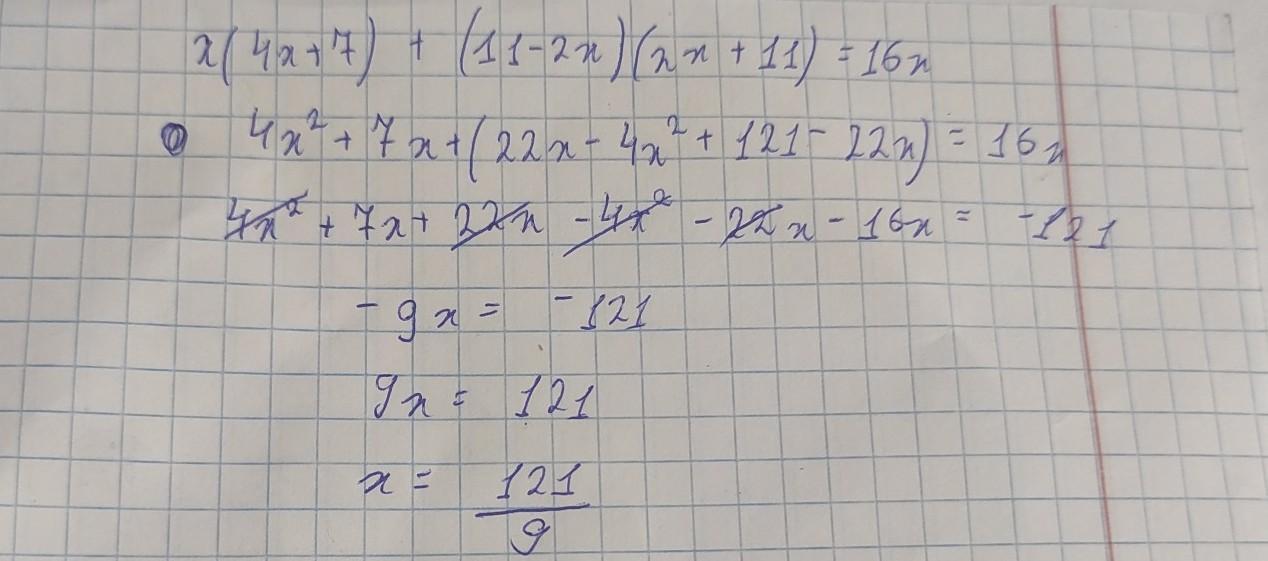
всё решено на листе. удачи
Приложения:

OCULUSIII:
В задании должно получиться число без дроби ( либо целые)
Вас заинтересует
2 года назад
2 года назад
8 лет назад
9 лет назад