• Предмет: Математика
  • Автор: asdasdasdasdsadasd
  • Вопрос задан 7 лет назад

ПОМОГИТЕ ПОЖАЛУЙСТА ДАЮ 40 БАЛЛОВ СРОЧНО!!!!

Приложения:

Ответы

Ответ дал: iramazurk
2

Ответ:

Пошаговое объяснение:

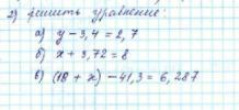
А)

у - 3,4 = 2,7

у = 2,7 + 3,4

у = 6,1

Б)

х + 3,72 = 8

х = 8 - 3,72

х = 4,28

В)

(18 + х) - 41,3 = 6,287

18 + х = 6,287 + 41,3

18 + х = 47,587

х = 47,587 - 18

х = 29,587

Вас заинтересует