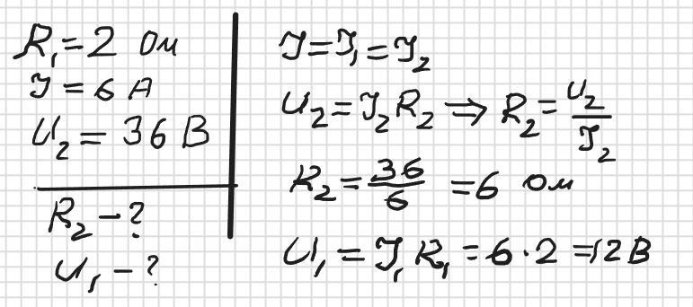
Два провідники з’єднані послідовно,опір першого дорівнює 2 Ом, сила струму в колі рівна 6А, напруга на другому провіднику 36В. Знайдіть опір другого провідника та напругу на першому.
Ответы
Ответ дал:
0
Ответ: 6 Ом 12 В
Объяснение: Див. додаток
Приложения:

Вас заинтересует
2 года назад
2 года назад
2 года назад
2 года назад
8 лет назад
8 лет назад
9 лет назад
6 Ом, 216 В
12 Ом, 6В