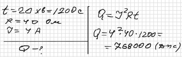
Яка килькисть теплоты видилилася за 20 хвилин роботи в електричний печи якщо опир печи становыть 40 Ом а сила струму в йй спирали доривнюэ 4А
Ответы
Ответ дал:
2
Ответ: 768 кДж
Объяснение: Див. додаток
Приложения:

Вас заинтересует
2 года назад
2 года назад
8 лет назад
8 лет назад
9 лет назад